
39 | CHAPTER 4 – TROUBLESHOOTING YOUR SMART BOARD INTERACTIVE
WHITEBOARD
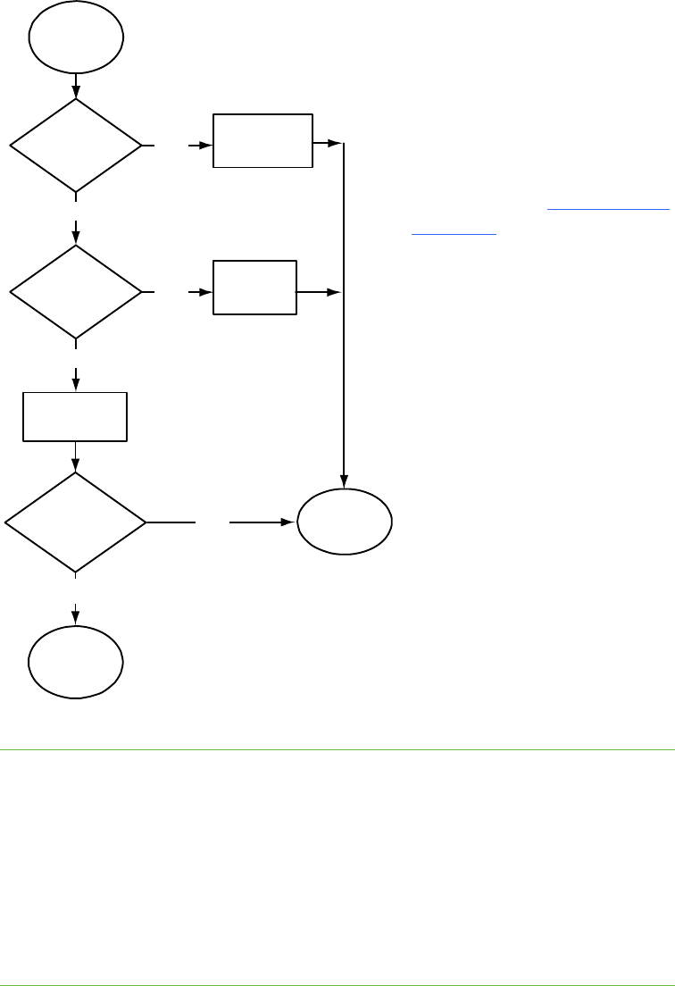
Flowchart 4: Ready light is flashing green
This is the normal mouse mode state when SMART Product Drivers isn’t installed on
your computer. This mode might be desirable for occasional or guest users who don’t
require the use of SMART Board Tools or pen tray functions.
Install SMART Product Drivers
from the disc or link included with
your interactive whiteboard, or
download it from smarttech.com/
downloads.
To determine whether the
SMART Board software service
is running, open the SMART
control panel and check the
message that appears at the
bottom. Start SMART Board
software service if it isn’t running.
To start SMART Board
Service
1. Press the SMART software icon in the Windows notification area or
Mac Dock, and then press Control Panel.
The SMART control panel opens.
2. Select About Software and Product Support > Tools > Diagnostics.
The SMART Board Diagnostics window opens.
3. In the Service menu, select Start.
Ready light
is flashing
green
No
No
Yes
Yes
Yes
Contact your
next level of
support
Is SMART
Product Drivers
installed?
Is the
SMART
Board service
running?
Is the Ready
light flashing
green?
Install SMART
Product Drivers
10.7 or later
No
No
Start SMART
Board
Service
Reinstall
SMART Product
Drivers
Go to
Flowchart 1
Comments to this Manuals